Topic – Syllogism
Direction (1-3): नीचे दिए गए प्रत्येक प्रश्न में कुछ कथनों के बाद कुछ निष्कर्ष दिए गए हैं। आपको दिए गए कथनों को सत्य मानना है, भले ही वे सामान्यतः ज्ञात तथ्यों से भिन्न प्रतीत होते हों। सभी निष्कर्षों का ध्यानपूर्वक अध्ययन कीजिये और सामान्यतः ज्ञात तथ्यों की उपेक्षा करते हुए निर्णय करें कि दिए गए कथनों का तार्किक रूप से अनुसरण नहीं करता है।
Q1. कथन: कुछ हेल्दी, वेल्थ नहीं है।
केवल कुछ वेल्थ, अनहेल्दी हैं।
सभी अनहेल्दी, हाइजीन हैं।
(a) कुछ हेल्दी, हाइजीन नहीं हैं।
(b) कुछ वेल्थ, अनहेल्दी नहीं हैं।
(c) कुछ हाइजीन, वेल्थ हैं।
(d) कुछ हाइजीन हेल्दी हो सकते हैं।
(e) कोई भी अनुसरण नहीं करता है।
Q2. कथन: केवल कुछ माउस, कीबोर्ड हैं।
कुछ कीबोर्ड, प्रिंटर नहीं हैं।
केवल कुछ प्रिंटर, मोडेम हैं।
(a) कोई प्रिंटर, कीबोर्ड नहीं है
(b) कुछ माउस, मोडेम हो सकते हैं
(c) कुछ प्रिंटर, मोडेम नहीं हैं
(d) कुछ माउस, कीबोर्ड नहीं हैं
(e) कोई भी अनुसरण नहीं करता है
Q3. कथन: केवल कुछ टिन, स्टील हैं।
कुछ स्टील, आयरन नहीं हैं।
केवल कुछ आयरन, कॉपर है।
(a) कुछ टिन कॉपर हो सकते हैं
(b) कुछ टिन स्टील नहीं हैं
(c) कुछ कॉपर स्टील नहीं हैं
(d) कुछ आयरन कॉपर नहीं हैं
(e) कोई भी अनुसरण नहीं करता है
Direction (4-6): इनमें से प्रत्येक प्रश्न में, दो निष्कर्ष दिए गए हैं जिसके बाद संभावित कथनों के 5 सेट दिए गए हैं। आपको दिए गए निष्कर्षों को सत्य मानना है, भले ही वे सामान्य रूप से ज्ञात तथ्यों से भिन्न प्रतीत होते हों और सामान्यतः ज्ञात तथ्यों की उपेक्षा करते हुए निर्णय करें कि दिए गए कथनों में से किस कथन का तार्किक रूप से अनुसरण करते हैं।
Q4. निष्कर्ष: कुछ सैनिटाइज़र मास्क हो सकते हैं। कुछ मास्क के सेफ्टी होने की संभावना है। कुछ कोविड, मास्क हो सकते हैं।
(a) कोई मास्क, कंसर्न नहीं हैं। कम से कम कुछ कंसर्न, सेफ्टी हैं। सभी सेनिटाइजर, कंसर्न हैं। सभी सैनिटाइजर, कोविड हैं।
(b) कुछ मास्क, कंसर्न हैं। कोई कोविड, मास्क नहीं है। कुछ सेफ्टी, मास्क हैं। सभी सैनिटाइजर, कोविड हैं।
(c) सभी मास्क, कन्सर्न हैं। कम से कम कुछ कंसर्न, सेफ्टी हैं। कुछ सेफ्टी, सैनिटाइजर हैं। सभी सैनिटाइजर, कोविड हैं।
(d) कुछ मास्क, कन्सर्न हैं। कोई कोविड, मास्क नहीं है। कुछ सेफ्टी, मास्क हैं। कुछ सेनिटाइजर, कोविड हैं।
(e) उपरोक्त में से कोई नहीं
Q5. निष्कर्ष: कुछ पायथन, ओरेकल हैं। कुछ लैंग्वेज के पायथन होने की संभावना है। कुछ पायथन, ओरेकल हैं।
(a) सभी ओरेकल, प्रोग्राम हैं। सभी प्रोग्राम, पायथन हैं। कुछ जावा, पायथन हैं। कुछ जावा, लैंग्वेज हैं।
(b) सभी ओरेकल, प्रोग्राम हैं। सभी प्रोग्राम, पायथन हैं। सभी जावा, पायथन हैं। कुछ जावा, लैंग्वेज हैं।
(c) कुछ ओरेकल, प्रोग्राम हैं। कुछ प्रोग्राम, पायथन हैं। सभी जावा, पायथन हैं। कुछ जावा, लैंग्वेज हैं।
(d) कोई ओरेकल, प्रोग्राम नहीं हैं। कोई प्रोग्राम, पायथन नहीं है। सभी जावा, पायथन हैं। कुछ जावा, लैंग्वेज हैं।
(e) उपरोक्त में से कोई नहीं
Q6. निष्कर्ष: सभी फुटबॉल के टेनिस होने की संभावना है। कुछ टेनिस, हॉकी हो सकते हैं।
(a) कुछ हॉकी, क्रिकेट हैं। कोई क्रिकेट, फुटबॉल नहीं है। केवल क्रिकेट, टेनिस है
(b) कोई हॉकी, क्रिकेट नहीं है। सभी क्रिकेट, फुटबॉल है। केवल फुटबॉल, टेनिस है।
(c) कोई हॉकी, क्रिकेट नहीं है। कुछ क्रिकेट, फुटबॉल हैं। सभी टेनिस, क्रिकेट हैं।
(d) कोई हॉकी, क्रिकेट नहीं है। सभी क्रिकेट, फुटबॉल है। केवल कुछ टेनिस, क्रिकेट हैं
(e) उपरोक्त में से कोई नहीं
Directions (7-9): नीचे दिए गए प्रत्येक प्रश्न में तीन कथनों के बाद निष्कर्ष दिए गए हैं। आपको दिए गए कथनों को सत्य मानना है, भले ही वे सामान्यतः ज्ञात तथ्यों से भिन्न प्रतीत होते हों। सभी निष्कर्षों का ध्यानपूर्वक अध्ययन कीजिये और सामान्यतः ज्ञात तथ्यों की उपेक्षा करते हुए निर्णय करें कि दिए गए कथनों में से कौन सा निष्कर्ष तार्किक रूप से दिए गए कथनों का अनुसरण करता है।
Q7. कथन: केवल कुछ पेन, पेंसिल हैं।
सभी पेंसिल, लैपटॉप है।
केवल लैपटॉप, कंप्यूटर है।
कुछ लैपटॉप, सिस्टम हैं।
निष्कर्ष: I. कुछ सिस्टम, कंप्यूटर हो सकते हैं।
II. सभी लैपटॉप के पेन होने की संभावना है।
(a) यदि केवल निष्कर्ष I अनुसरण करता है।
(b) यदि केवल निष्कर्ष II अनुसरण करता है।
(c) यदि या तो निष्कर्ष I या II अनुसरण करता है।
(d) यदि निष्कर्ष I और II दोनों अनुसरण करते हैं।
(e) यदि न तो निष्कर्ष I और न ही II अनुसरण करता है।
Q8. कथन: कुछ वॉटर, लेक हैं।
सभी लेक, पॉन्ड हैं।
कोई पॉन्ड, स्ट्रीम नहीं है।
प्रत्येक स्ट्रीम, मिल्क है।
निष्कर्ष: I. कुछ स्ट्रीम के लेक होने की संभावना है
II. सभी लेक मिल्क हो सकते हैं
(a) यदि केवल निष्कर्ष I अनुसरण करता है।
(b) यदि केवल निष्कर्ष II अनुसरण करता है।
(c) यदि या तो निष्कर्ष I या II अनुसरण करता है।
(d) यदि निष्कर्ष I और II दोनों अनुसरण करते हैं।
(e) यदि न तो निष्कर्ष I और न ही II अनुसरण करता है।
Q9. कथन: केवल कुछ लार्ज, स्मॉल हैं।
सभी स्मॉल, मीडियम हैं।
केवल कुछ मीडियम, बिग है।
निष्कर्ष: I. कुछ लार्ज, स्मॉल नहीं हैं
II. सभी बिग, मीडियम हैं।
(a) यदि केवल निष्कर्ष I अनुसरण करता है।
(b) यदि केवल निष्कर्ष II अनुसरण करता है।
(c) यदि या तो निष्कर्ष I या II अनुसरण करता है।
(d) यदि निष्कर्ष I और II दोनों अनुसरण करते हैं।
(e) यदि न तो निष्कर्ष I और न ही II अनुसरण करता है।
Directions (10-12): नीचे दिए गए प्रत्येक प्रश्न में तीन कथनों के बाद निष्कर्ष दिए गए हैं। आपको दिए गए कथनों को सत्य मानना है, भले ही वे सामान्यतः ज्ञात तथ्यों से भिन्न प्रतीत होते हों। सभी निष्कर्षों का ध्यानपूर्वक अध्ययन कीजिये और सामान्यतः ज्ञात तथ्यों की उपेक्षा करते हुए निर्णय करें कि दिए गए कथनों में से कौन सा निष्कर्ष तार्किक रूप से दिए गए कथनों का अनुसरण करता है।
Q10. कथन: कोई ब्लू, रेड नहीं है।
केवल कुछ रेड, ग्रीन हैं।
सभी ग्रीन, वाइट हैं।
केवल कुछ पिंक, वाइट हैं।
निष्कर्ष: I. कुछ ग्रीन, पिंक हैं।
II. सभी ग्रीन, रेड हो सकते हैं।
(a) यदि केवल निष्कर्ष I अनुसरण करता है।
(b) यदि केवल निष्कर्ष II अनुसरण करता है।
(c) यदि या तो निष्कर्ष I या II अनुसरण करता है।
(d) यदि निष्कर्ष I और II दोनों अनुसरण करते हैं।
(e) यदि न तो निष्कर्ष I और न ही II अनुसरण करता है।
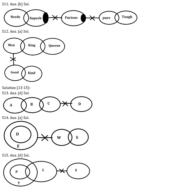
Q11. कथन: केवल कुछ नर्ड, सुपर्ब हैं।
कुछ सुपर्ब ,फ्यूरियस नहीं हैं।
कुछ फ्यूरियस, प्योर नहीं हैं।
केवल कुछ प्योर, टफ हैं I
निष्कर्ष: I. सभी नर्ड, सुपर्ब हैं
II. कुछ टफ, सुपर्ब हो सकते हैं
(a) यदि केवल निष्कर्ष I अनुसरण करता है।
(b) यदि केवल निष्कर्ष II अनुसरण करता है।
(c) यदि या तो निष्कर्ष I या II अनुसरण करता है।
(d) यदि निष्कर्ष I और II दोनों अनुसरण करते हैं।
(e) यदि न तो निष्कर्ष I और न ही II अनुसरण करता है।
Q12. कथन: केवल कुछ किंग, क्वीन हैं।
कुछ मेन, किंग हैं।
कोई मेन, गुड नहीं है।
केवल कुछ गुड, काइंड हैं।
निष्कर्ष: I. कुछ काइंड, क्वीन हो सकता है।
II. कुछ गुड, किंग हैं।
(a) यदि केवल निष्कर्ष I अनुसरण करता है।
(b) यदि केवल निष्कर्ष II अनुसरण करता है।
(c) यदि या तो निष्कर्ष I या II अनुसरण करता है।
(d) यदि निष्कर्ष I और II दोनों अनुसरण करते हैं।
(e) यदि न तो निष्कर्ष I और न ही II अनुसरण करता है।
Direction (13-15): निम्नलिखित प्रश्नों में, प्रतीकों #, @, $ और % का प्रयोग निम्नलिखित अर्थों के साथ किया गया है जैसा कि नीचे दर्शाया गया है। निम्नलिखित जानकारी का अध्ययन करें और दिए गए प्रश्नों के उत्तर दें। नीचे दिए गए प्रत्येक प्रश्न में कथनों के बाद कुछ निष्कर्ष दिए गए हैं। आपको दिए गए कथनों को सत्य मानना है, भले ही वे सर्वज्ञात तथ्यों से भिन्न प्रतीत होते हों। सभी निष्कर्षों को पढ़ें और फिर तय करें कि दिए गए निष्कर्षों में से कौन सा निष्कर्ष सामान्य रूप से ज्ञात तथ्यों की परवाह किए बिना दिए गए कथनों का तार्किक रूप से अनुसरण करता है।
X#Y – कुछ X, Y है.
X@Y – सभी X, Y है.
X$Y – कोई X, Y नहीं है.
X%Y – कुछ X, Y नहीं है.
Q13. कथन: A#B#C$D
(a) A@B
(b) A$B
(c) A#C
(d) B%D
(e) इनमें से कोई नहीं
Q14. कथन: D@E$W#S
(a) D$W
(b) S#E
(c) W@S
(d) E@D
(e) इनमें से कोई नहीं
Q15. कथन: P@T, P#C, C$S
(a) C@P
(b) T@P
(c) T%C
(d) T#C
(e) इनमें से कोई नहीं
SOLUTIONS:



LIC ADO Mains रीजनिंग क...
LIC ADO Mains रीजनिंग क...
LIC ADO Mains रीजनिंग क...


