
TOPIC: आज 06 August 2021 की क्विज़ Data Interpretation and Approximation based questions पर आधारित है.
Directions (1-5): दी गई संख्या श्रंखला में प्रश्नचिन्ह (?) के स्थान पर क्या आएगा
Q1. 55, 72, 91, 112, 135, ?
(a) 156
(b) 160
(c) 144
(d) 164
(e) 172
Q2. 12.5, 13, 27.5, 85, 343.5, ?
(a) 1722
(b) 1740
(c) 1720
(d) 1716
(e) 1748
Q3. 1783, 1776, 1805, 1744, 1873, ?
(a) 1652
(b) 1668
(c) 1664
(d) 1680
(e) 1662
Q4. 12, 91, 552, 2765, 11064, ?
(a) 33180
(b) 33210
(c) 33195
(d) 33200
(e) 33560
Q5. 5856, 488, 4880, 610, 3660, ?
(a) 915
(b) 905
(c) 918
(d) 920
(e) 924
Directions (6-10): दिए गए प्रश्नों में, दो मात्राएं, एक ‘मात्रा I’ और दूसरी ‘मात्रा II’ के रूप में दी गई हैं। आपको दोनों मात्राओं के बीच संबंध निर्धारित कर उपर्युक्त विकल्प का चयन करना है:
Q6. मात्रा I – एक कार्य को A, 24 दिनों में पूरा कर सकता है और समान कार्य को B, 18 दिनों में कर सकता है। अन्य दो व्यक्ति C और D समान कार्य का 58 ⅓%, 7 दिनों करते हैं और D की कार्यकुशलता, C की तुलना में 40% अधिक है। A, B और D मिलकर कार्य को कितने दिनों में पूरा करेंगे?
मात्रा II – सतीश की तुलना में अंकित 60% कम कार्यकुशल है और एक कार्य को 22.5 दिनों में पूरा करता है। अंकित और सातिश मिलकर कार्य शुरू करते हैं और 4.5 दिनों के बाद दोनों कार्य छोड़ देते हैं, यदि वीर शेष कार्य को 4.5 दिनों में पूरा करता है, तो पूरा कार्य कितने दिनों में पूरा होगा, यदि तीनों मिलकर कार्य करते हैं?
(a) मात्रा I > मात्रा II
(b) मात्रा I < मात्रा II
(c) मात्रा I ≥ मात्रा II
(d) मात्रा I ≤ मात्रा II
(e) मात्रा I = मात्रा II या कोई सम्बन्ध नहीं है
Q8. मात्रा I – एक दुकानदार के पास दो वस्तु A और B हैं। वस्तु B का अंकित मूल्य, वस्तु A के अंकित मूल्य से 20% अधिक है, दुकानदार वस्तु A, 25% की छूट पर बेचता है और वस्तु B, 20% की छूट पर बेचता है। उसे वस्तु A पर 20% की हानि होती है और वस्तु B पर 6 ⅔% का लाभ होता है। यदि दुकानदार की कुल हानि 765 रुपये थी, तो वस्तु B का अंकित मूल्य ज्ञात कीजिए।
मात्रा II – एक दुकानदार शर्ट के अंकित मूल्य पर 24% की छूट देता है और जींस का क्रय मूल्य, शर्ट के विक्रय मूल्य से 25% अधिक है। यदि दुकानदार जींस को 10 % के लाभ पर बेचता है और जींस का विक्रय मूल्य, शर्ट के विक्रय मूल्य से 1140 रुपये अधिक है, तो जींस का क्रय मूल्य ज्ञात कीजिए।
(a) मात्रा I > मात्रा II
(b) मात्रा I < मात्रा II
(c) मात्रा I ≥ मात्रा II
(d) मात्रा I ≤ मात्रा II
(e) मात्रा I = मात्रा II या कोई सम्बन्ध नहीं है
Q9. मात्रा I – एक बैग में चार हरी गेंद, तीन लाल गेंदें और पांच नीली गेंद हैं। यदि यादृच्छिक रूप से तीन गेंद निकाली जाती हैं तो कम से कम एक हरी और कम से कम एक नीली गेंद होने की प्रायिकता ज्ञात कीजिए।
मात्रा II – एक कार्टून में पांच लाल और छह हरे रंग के खिलौने हैं। चार खिलौने के चयन की प्रायिकता ज्ञात कीजिये जिनमें कम से कम दो हरे खिलौने हो।
(a) मात्रा I > मात्रा II
(b) मात्रा I < मात्रा II
(c) मात्रा I ≥ मात्रा II
(d) मात्रा I ≤ मात्रा II
(e) मात्रा I = मात्रा II या कोई सम्बन्ध नहीं है
Q10. मात्रा I – छह वर्ष पहले रोहित और प्रकाश की आयु के बीच 7 : 8 का अनुपात था, जबकि छः वर्ष बाद रोहित की आयु के 1/6 और प्रकाश की आयु के 1/3 के बीच 9 : 20 अनुपात होगा। दो वर्ष बाद रोहित की आयु होगी।
मात्रा II – A, B और C की आयु के बीच 16 : 9 : 7 का अनुपात है। तीन वर्ष बाद सभी तीन की आयु का औसत 35 वर्ष होगा। दो वर्ष बाद A की आयु कितनी होगी?
(a) मात्रा I > मात्रा II
(b) मात्रा I < मात्रा II
(c) मात्रा I ≥ मात्रा II
(d) मात्रा I ≤ मात्रा II
(e) मात्रा I = मात्रा II या कोई सम्बन्ध नहीं है
Q11. B, C से तीन गुना कार्यसक्षम है। B और C मिलकर एक कार्य को 45/2 दिन में पूरा कर सकते हैं। A इस कार्य को पूरा करने में, A और B द्वारा मिलकर समान कार्य को पूरा करने में लगे दिनों से 50% अधिक दिन लेता है।
मात्रा 1: उनमें से तीव्र गति से कार्य करने वाले व्यक्ति द्वारा अकेले कार्य पूरा करने के लिए, लिए गए दिनों की संख्या।
मात्रा 2: A और C द्वारा मिलकर कार्य पूरा करने में लिया गया समय।
(a) मात्रा I > मात्रा II
(b) मात्रा I < मात्रा II
(c) मात्रा I ≥ मात्रा II
(d) मात्रा I ≤ मात्रा II
(e) मात्रा I = मात्रा II या कोई संबंध नहीं है
Q12. मात्रा I→ यदि विक्रय मूल्य और क्रय मूल्य के बीच का अंतर 600 का 117 ⅔% है, तो एक वस्तु को बेचने पर अर्जित लाभ (रु. में)।
मात्रा II→ यदि वस्तु का विक्रय मूल्य 1000रु. है और वस्तु को बेचने पर 25% लाभ प्राप्त होता है, तो वस्तु का क्रय मुल्य (रु. में)।
(a) मात्रा I > मात्रा II
(b) मात्रा I < मात्रा II
(c) मात्रा I ≥ मात्रा II
(d) मात्रा I = मात्रा II
(e) कोई संबंध नहीं है
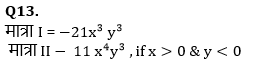
(a) मात्रा I > मात्रा II
(b) मात्रा I < मात्रा II
(c) मात्रा I ≤ मात्रा II
(d) मात्रा I = मात्रा II या कोई सम्बन्ध नहीं
(e) मात्रा I ≥ मात्रा II
Q14. एक 7 से.मी. के किनारे वाले लकड़ी के घन में से, सबसे बड़ा संभावित लंब वृतीय बेलन काटा जाता है।
मात्रा I: बेलन काटने के बाद, शेष घन का आयतन।
मात्रा II: बेलन काटने के बाद शेष घन का पृष्ठीय क्षेत्रफल।
नोट : दोनों मात्राओं के परिमाण की तुलना कीजिये।
(a) मात्रा I > मात्रा II
(b) मात्रा I < मात्रा II
(c) मात्रा I ≥ मात्रा II
(d) मात्रा I ≤ मात्रा II
(e) मात्रा I = मात्रा II या कोई सम्बन्ध नहीं है
Q15. मात्रा 1: सबसे अधिक और सबसे कम धनराशि के बीच अंतर। 1440रु. की एक धनराशि को तीन भागों में इस प्रकार उधार दिया जाता है कि पहले भाग पर 3 वर्षों के लिए 2% ब्याज दर से अर्जित ब्याज, दूसरे भाग पर 4 वर्षों के लिए 3% ब्याज दर से अर्जित ब्याज और तीसरे भाग पर 5 वर्षों के लिए 4% ब्याज दर से अर्जित ब्याज बराबर है।
मात्रा II : 460
(a) मात्रा I > मात्रा II
(b) मात्रा I < मात्रा II
(c) मात्रा I ≥ मात्रा II
(d) मात्रा I ≤ मात्रा II
(e) मात्रा I = मात्रा II या कोई संबंध नहीं है
Solutions
Click Here to Register for Bank Exams 2021 Preparation Material















