Directions (1-5): इन प्रत्येक प्रश्नों में, दो समीकरण (I) और (II) दी गई हैं। दोनों समीकरणों को हल करें और उत्तर दीजिए-
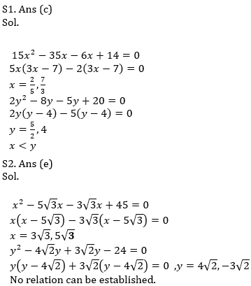
Q1. I. 15×2-41x+14=0
II. 2y2-13y+20=0
(a) यदि x>y
(b) यदि x≥y
(c) यदि x<y
(d) यदि x ≤y
(e) यदि x = y या x और y के मध्य कोई सम्बन्ध स्थापित नहीं किया जा सकता
Q2. I. x2-8√3x+45=0
II. y2-√2y-24=0
(a) यदि x>y
(b) यदि x≥y
(c) यदि x<y
(d) यदि x ≤y
(e) यदि x = y या x और y के मध्य कोई सम्बन्ध स्थापित नहीं किया जा सकता
Q3. I. 5×2+26x-24=0
II. 5y2-34y+24=0
(a) यदि x>y
(b) यदि x≥y
(c) यदि x<y
(d) यदि x ≤y
(e) यदि x = y या x और y के मध्य कोई सम्बन्ध स्थापित नहीं किया जा सकता
Q4. I. 20×2-67x+56=0
II. 56y2-67y+20=0
(a) यदि x>y
(b) यदि x≥y
(c) यदि x<y
(d) यदि x ≤y
(e) यदि x = y या x और y के मध्य कोई सम्बन्ध स्थापित नहीं किया जा सकता
Q5. I. 2×2+11x-40=0
II. 4y2-27y+44=0
(a) यदि x>y
(b) यदि x≥y
(c) यदि x<y
(d) यदि x ≤y
(e) यदि x = y या x और y के मध्य कोई सम्बन्ध स्थापित नहीं किया जा सकता
Direction (6-10): निम्नलिखित संख्या श्रृंखला में प्रश्नवाचक चिह्न (?) के स्थान पर क्या मान आएगा-
Q6. 80 80 64 38.4 15.36 ?
(a) 3.072
(b) 3.142
(c) 3.224
(d) 3.912
(e) इनमें से कोई नहीं
Q7. 441 441 147 735 105 ?
(a) 935
(b) 945
(c) 735
(d) 525
(e) इनमें से कोई नहीं
Q8. 2 3 10 ? 172
(a) 37
(b) 38
(c) 39
(d) 41
(e) इनमें से कोई नहीं
Q9. 53 477 ? 16695 50085
(a)3399
(b)3339
(c)3345
(d)3359
(e) इनमें से कोई नहीं
Q10. 677376 10584 392 ? 49
(a)98
(b)196
(c)49
(d)392
(e) इनमें से कोई नहीं
Directions (11-15): दिए गए प्रश्नों में, मात्रा (I) और मात्रा (II) दी गई हैं। दोनों मात्राओं के मध्य सम्बन्ध निर्धारित करें और उचित उत्तर चुनिए-
Q11. मात्रा I – जब आयत की लंबाई और चौड़ाई में 2 सेमी की वृद्धि की जाती है। आयत के क्षेत्रफल में 84 वर्ग सेमी की वृद्धि हो जाती है। यदि चौड़ाई में 3 सेमी की कमी की जाती है तो क्षेत्रफल में 72 वर्ग सेमी की कमी हो जाती है। आयत का परिमाप ज्ञात कीजिये?
मात्रा II – एक बेलन की त्रिज्या 14 वर्ग सेमी और ऊंचाई 56 सेमी है। यदि गोले की त्रिज्या, बेलन की त्रिज्या की आधी है, तो ज्ञात कीजिए कि बेलन से कितने गोले बनाए जा सकते हैं?
(a) मात्रा I > मात्रा II
(b) मात्रा I < मात्रा II
(c) मात्रा I ≥ मात्रा II
(d) मात्रा I ≤ मात्रा II
(e) मात्रा I = मात्रा II या कोई सम्बन्ध नहीं है
Q12. एक बैग में पाँच मंच, चार 5- स्टार और तीन किटकैट चॉकलेट हैं। एक लड़का बैग से यादृच्छिक रूप से चार चॉकलेट निकालता है।
मात्रा I – दो मंच और दो 5-स्टार चुने जाने की प्रायिकता
मात्रा II – दो मंच, एक 5-स्टार और एक किटकैट होने की प्रायिकता
(a) मात्रा I > मात्रा II
(b) मात्रा I < मात्रा II
(c) मात्रा I ≥ मात्रा II
(d) मात्रा I ≤ मात्रा II
(e) मात्रा I = मात्रा II या कोई सम्बन्ध नहीं है
Q13. मात्रा I: ‘x’ : एक बेईमान दुकानदार 15% कम वजन करके अपने सामान की बिक्री करता है और अपने थोक व्यापारी को 15% कम मात्रा में सामान देकर धोखा देता है। यदि वह इसे क्रय मूल्य पर बेचता है, तो ‘X’ उसका अनुमानित कुल लाभ प्रतिशत है ।
मात्रा II: ‘y’ : एक बेईमान दूधवाला, शुद्ध दूध में 20 लीटर पानी मिलाता है। मिश्रण के आधे भाग को बेचने के बाद, वह शेष मिश्रण में फिर से 20 लीटर पानी मिलाता है, अब दूध और पानी का अनुपात 4:3 हो जाता है। कुल मिश्रण बेचने पर उसका कुल लाभ प्रतिशत ‘y’ है।
(a) मात्रा I > मात्रा II
(b) मात्रा I < मात्रा II
(c) मात्रा I = मात्रा II या कोई सम्बन्ध नहीं है
(d) मात्रा I ≥ मात्रा II
(e) मात्रा I ≤ मात्रा II
Q14. मात्रा I: ‘x’ : A और B एक साथ एक कार्य को 24 दिनों में कर सकते हैं, जिसमें 40% कार्य B द्वारा किया जाता है, C, जो A की तुलना में 25% अधिक कुशल है, A, जो समान कार्य को अकेले ‘x’ दिनों में करता है।
मात्रा II: ‘y’ : P, Q और S, x, x + 1 और x + 2 दिनों के लिए काम करते हैं और उनकी कार्यक्षमता क्रमशः x: x + 1: x + 2 के अनुपात में है। यदि P को अपने काम के लिए 16 रुपये मिलते हैं, तो ‘y’ (रुपये में) तीनों द्वारा अर्जित कुल धनराशि है .. (x और y के परिमाण की तुलना करें)
(a) मात्रा I > मात्रा II
(b) मात्रा I ≥ मात्रा II
(c) मात्रा I = मात्रा II या कोई सम्बन्ध नहीं है
(d) मात्रा I < मात्रा II
(e) मात्रा I ≤ मात्रा II
Q15. दो अंकों की एक संख्या में, इकाई स्थान पर स्थित अंक, इसके दहाई स्थान पर स्थित अंक से 2 अधिक है और इसके अंकों के योग के साथ अपेक्षित संख्या का गुणनफल 144 के बराबर है।
मात्रा I: दो-अंकीय संख्या का मान
मात्रा II: 26
(a) मात्रा I > मात्रा II
(b) मात्रा I < मात्रा II
(c) मात्रा I ≥ मात्रा II
(d) मात्रा I ≤ मात्रा II
(e) मात्रा I = मात्रा II या कोई सम्बन्ध नहीं है
SOLUTIONS:
For 200+ most important arithmetic questions
- Quantitative Aptitude Study Notes for Bank Exams
- 100 MCQs Data Interpretation | Download Free PDF’s of DI
- Quantitative Aptitude Questions for all Competitive Exams





















