Latest Hindi Banking jobs   »   IBPS RRB परीक्षा 2017 के लिए...

IBPS RRB परीक्षा 2017 के लिए टेस्ट ऑफ़ दी डे

प्रिय पाठकों,

Test-of-the-Day-for-NICL-AO-Mains-Exam-2017

हम आपको टेस्ट ऑफ़ दी डे प्रदान कर रहे हैं जो Dena PGDBF, IBPS RRB,आदि जैसी आगामी परीक्षाओं में आपकी काफी सहायता करेंगे.इस से आप टाइमर के साथ प्रश्नों का अभ्यास कर सकते हैं जो आपको गति में सुधार करने में मदद करेंगे.


00:00:00

Q1. NPA का पूर्ण रुप क्या है -

National ­performing Assets
New ­performing Assets
Non ­production Assets
Non ­performing Assembly
Non ­performing Assets
Solution:

NPA stands for Non ­performing Assets.

Q2. MUDRA एक वित्तीय संस्थान है जिसका विकास भारत सरकार द्वारा माइक्रो यूनिटों के उद्यमों और पुनर्वित्त के लिए किया गया है. MUDRA में "A" का क्या अर्थ है? 

Agency
Association
Assembly
Agent
Alert
Solution:

MUDRA, which stands for Micro Units Development & Refinance Agency Ltd, is a financial institution being set up by Government of India for development and refinancing micro units’ enterprises.

Q3. मनीला-मुख्यालय एशियन डेवलपमेंट बैंक (एडीबी) ने पावर ग्रिड कॉरपोरेशन ऑफ इंडिया लिमिटेड को 175 मिलियन डॉलर का ऋण दिया है। एडीबी के अध्यक्ष का नाम बताइए.

टेकहिको नाकाओ
सैन की बान
एडम्स पीटर यॉन
हिकानो अबे
चिगोबारा हयात
Solution:

The Manila-headquartered Asian Development Bank (ADB) lends a $175 million loan to the Power Grid Corporation of India Ltd. Takehiko Nakao is the President of the Asian Development Bank (ADB).

Q4. नेशनल एसोसिएशन ऑफ सॉफ्टवेयर एंड सर्विसेज कंपनी (नासकॉम) ने हाल ही में 2017-2018 के लिए ______________ को अपने अध्यक्ष के रूप में नियुक्त किया है.

संदीप जजोडिया
बी पी कानुगो
गीता कुमारी
रमन रॉय
दीपक दास
Solution:

The National Association of Software and Services Companies (Nasscom) appointed Raman Roy (Managing Director of Quatrro Global Services) as its chairman for 2017-2018.

Q5. अंतर्राष्ट्रीय विकास और शांति दिवस (आईडीएसडीपी) विश्व स्तर पर ___________ पर मनाया जाता है.

23 मार्च
29 मार्च
6 अप्रैल
16 अप्रैल
10 अप्रैल
Solution:

6 April was declared as the International Day of Sport for Development and Peace (IDSDP) by the UN General Assembly.

Directions (6-10): निम्नलिखित जानकारी का सावधानीपूर्वक अध्ययन कीजिये और प्रश्नों के उत्तर दीजिये.
 S, T, U, V, W, X, Y और Z एक सीधी रेखा में बैठे है परन्तु आवश्यक नहीं इसी क्रम में बैठे हो. कुछ का मुख दक्षिण की ओर है जबकि कुछ का मुख उत्तर की ओर है. S, X के बायें से चौथे स्थान पर बैठा है. X रेखा के अंतिम छोर पर बैठा है. S के दोनों निकटतम पड़ोसियों का मुख उत्तर की ओर है. T, Z के बायें से दूसरे स्थान पर बैठा है. Z, S का निकटतम पडोसी नहीं है. न ही Z न ही U रेखा के अंतिम छोर पर बैठे है. U  के दोनों निकटतम पड़ोसियों का मुख उत्तर की ओर है. W, Y के ठीक बायें बैठा है. V के निकटतम पड़ोसियों का मुख विपरीत दिशा में है (अर्थात यदि V के एक पडोसी के मुख उत्तर दिशा में है तो दूसरे का मुख दक्षिण दिशा में होगा और इसी प्रकार विपरीत). T के निकटतम पड़ोसियों का मुख विपरीत दिशा में है (अर्थात यदि T के एक पडोसी का मुख उत्तर दिशा में है तो दूसरे का मुख दक्षिण दिशा में होगा). S का मुख दक्षिण दिशा में है. वह व्यक्ति जो रेखा के अंतिम छोर पर बैठे है उनका मुख विपरीत दिशा में है (अर्थात यदि एक व्यक्ति का मुख उत्तर दिशा में है तो दुसरे व्यक्ति का मुख दक्षिण दिशा में होगा और इसी प्रकार विपरीत).

 Q6. कितने व्यक्ति U और S के मध्य बैठे है?

तीन 
चार      
छ:
पांच
इनमे से कोई नहीं
Solution:

IBPS RRB परीक्षा 2017 के लिए टेस्ट ऑफ़ दी डे – Latest Hindi Banking jobs_4.1

Q7. निम्न में से कौन V के बायें से दूसरे स्थान पर बैठा है?

X
Y
Z
W
निर्धारित नहीं किया जा सकता

Q8. कितने व्यक्ति Y और Z के मध्य बैठे है?

दो
दोनों (C) और (E)
पांच   
एक 
चार 

Q9. निम्नलिखित दिए गए पांच विकल्पों में से चार एक निश्चित आधार पर एक समूह का निर्माण करते है. इनमे से कौन उस समूह से संबंधित नहीं है?

U
Z
S
T
V

Q10. निम्नलिखित में से कौन Z के ठीक बायें बैठा है?

X
V
S
Y
U

Directions (11-15): निम्नलिखित प्रश्नों में, दो समीकरण I और II दिए गये है. आपको दोनों समीकरणों को हल करना है और उत्तर देना है:- 

 Q11.  IBPS RRB परीक्षा 2017 के लिए टेस्ट ऑफ़ दी डे – Latest Hindi Banking jobs_5.1

 यदि x > y
 यदि x ≥ y
 यदि x < y
 यदि x ≤ y
 यदि x = y या x और y के बीच संबंध स्थापित नहीं किया जा सकता है.
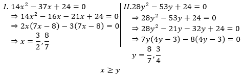
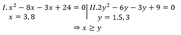
Solution:
IBPS RRB परीक्षा 2017 के लिए टेस्ट ऑफ़ दी डे – Latest Hindi Banking jobs_6.1

Q12.   IBPS RRB परीक्षा 2017 के लिए टेस्ट ऑफ़ दी डे – Latest Hindi Banking jobs_7.1
यदि x > y
यदि x ≥ y
यदि x < y
यदि x ≤ y
यदि x = y या x और y के बीच संबंध स्थापित नहीं किया जा सकता है.
Solution:

IBPS RRB परीक्षा 2017 के लिए टेस्ट ऑफ़ दी डे – Latest Hindi Banking jobs_8.1

Q13.  IBPS RRB परीक्षा 2017 के लिए टेस्ट ऑफ़ दी डे – Latest Hindi Banking jobs_9.1

यदि x > y
यदि x ≥ y
यदि x < y
यदि x ≤ y
यदि x = y या x और y के बीच संबंध स्थापित नहीं किया जा सकता है.
Solution:

IBPS RRB परीक्षा 2017 के लिए टेस्ट ऑफ़ दी डे – Latest Hindi Banking jobs_10.1

Q14.  IBPS RRB परीक्षा 2017 के लिए टेस्ट ऑफ़ दी डे – Latest Hindi Banking jobs_11.1

 यदि x > y
 यदि x ≥ y
 यदि x < y
 यदि x ≤ y
यदि x = y या x और y के बीच संबंध स्थापित नहीं किया जा सकता है.
Solution:

IBPS RRB परीक्षा 2017 के लिए टेस्ट ऑफ़ दी डे – Latest Hindi Banking jobs_12.1

Q15.  IBPS RRB परीक्षा 2017 के लिए टेस्ट ऑफ़ दी डे – Latest Hindi Banking jobs_13.1

 यदि x > y
 यदि x ≥ y
 यदि  x < y
 यदि x ≤ y
 यदि x = y या x और y के बीच संबंध स्थापित नहीं किया जा सकता है.
Solution:

IBPS RRB परीक्षा 2017 के लिए टेस्ट ऑफ़ दी डे – Latest Hindi Banking jobs_14.1


Directions (16-20): In each of the following questions, a paragraph with a blank is given. From the five choices given below, select the sentence which can go into the blank to make the paragraph logically coherent. 

 Q16. With the breakdown of the joint family system and with more and more couples opting for a single child, a time will come when relatives will become fewer and fewer. [__________]

People will gradually abandon the nuclear family
The role of friends will become even more important then.
Old age homes will flourish with more and more senior citizens joining them.
Family planning will no longer be valid.
Joint family system will gradually return.
Solution:

The role of friends will become even more important then.

Q17. Information technology will usher in a more vibrant and responsive democracy where people are truly empowered. In the context of such an increasingly IT – oriented world we have to increase computer literacy in the country. [__________]

India, with its poor human resource base, cannot take advantage of the revolution that is happening.
Indian firms have to gear up suitably to meet the emerging challenges in the new millennium, as far as software exports are concerned.
Computer literacy in India needs to improve further.
Internet can be used to create and acquire knowledge in ways that would not be possible otherwise.
Access to computer and the internet should be made available to all so that benefits of technology are enjoyed by everyone.
Solution:

Access to computer and the internet should be made available to all so that benefits of technology are enjoyed by everyone.

Q18. The recent economic liberalization by the Government has opened the sluice-valves for free flow of foreign consumer goods into the country. Goods from China and other East Asian markets have now flooded the Indian market. [__________]

The foreign goods which are now available in India are of inferior quality.
The bloodless war of the new millennium waged by China could cause greater havoc to this country.
Smuggling of goods has to be effectively prevented, to save the economy.
Indian products are unable to withstand the competition in price as well as quality from these foreign goods.
Chinese goods can never offer a stiff competition to Indian goods.
Solution:

Indian products are unable to withstand the competition in price as well as quality from these foreign goods.

Q19. Chess will always have limited spectator appeal. [__________] It is too intellectual and far too rigid in its rules and mode of play for the average person.

It is not a game that can be called having fun with.
Chess has some advantages that other sports do not.
Chess is not a sport for egg heads only.
Chess players will always have a limited fan following.
With a little more encouragement chess players will perform better.
Solution:

Chess players will always have a limited fan following.

Q20. Most people are poor observers, and receive only a vague or hazy impression of objects around them. [__________] But we receive impressions through the other senses too – touch, taste smell and sound.

Impressions perceived through the sense of sight are not capable of a vivid description.
A person who is blind, is a better observer in most cases than a person who is gifted with eyesight.
People cannot make use of their sense of sight in a productive manner.
Most descriptions are confined to what people see.
What we see we tend to believe and sometimes we see what we want to see.
Solution:

Most descriptions are confined to what people see.

                                       


You may also like to Read:


IBPS RRB परीक्षा 2017 के लिए टेस्ट ऑफ़ दी डे – Latest Hindi Banking jobs_15.1

CRACK IBPS PO 2017



11000+ (RRB, Clerk, PO) Candidates were selected in IBPS PO 2016 from Career Power Classroom Programs.


9 out of every 10 candidates selected in IBPS PO last year opted for Adda247 Online Test Series.

prime_image
QR Code
Scan Me