CONCEPT OF BLOOD RELATION : रक्त संबंध में एक परिवार के कुछ सदस्यों के एक-दूसरे के साथ संबंध शामिल होते हैं। प्रश्न में कुछ सूचना प्रत्यक्ष या अप्रत्यक्ष रूप से प्रदान की जाती है और इसके आधार पर आपको रक्त संबंध वृक्ष बनाना होता है। यह रक्त संबंध वृक्ष का उपयोग प्रश्नों में दी गई सूचना के अनुसार नियत पीढ़ी अंतराल के सदस्यों को आकृति द्वारा दर्शाने के लिए किया जाता है। नए प्रारूप के अनुसार रक्त सम्बन्ध की सूचना पजल/बैठक व्यवस्था के साथ दी जाती है। इन प्रकार के प्रश्नों में सामान्यत: पहले आपको रक्त संबंध वृक्ष हल करना होगा और फिर सदस्यों को व्यवस्थित करना होगा। अत:, यह मूल रूप से परीक्षा के दृष्टिकोण से एक महत्वपूर्ण भाग है।
अब नीचे दी गई ‘पीढ़ी तालिका’ देखें, जो विभिन्न संबंधों को समझने में सहायक होगा।
|
पीढ़ी
|
पुरुष
|
महिला
|
|
तीन पीढ़ी ऊपर
|
परदादा, परनाना, ग्रेट ग्रैंडफादर-इन-लॉ
|
परदादी, परनानी, ग्रेट ग्रैंडमदर-इन-लॉ
|
|
दो पीढ़ी ऊपर
|
दादा, नाना, ग्रैंडफादर-इन-लॉ
|
दादी, नानी, ग्रैंडमदर-इन-लॉ
|
|
एक पीढ़ी ऊपर
|
पिता, अंकल (चाचा), मैटरनल अंकल (मामा), फादर-इन-लॉ (ससुर)
|
माँ, आंट (बुआ/चाची), मैटरनल आंट (मौसी/मामी) मदर-इन-लॉ (सास)
|
|
वर्तमान पीढ़ी (स्वयं) →
|
पति, भाई, कज़न, ब्रदर-इन-लॉ
|
पत्नी, बहन, कज़न, सिस्टर-इन-लॉ
|
|
एक पीढ़ी नीचे
|
पुत्र, नेफ्यू, सन-इन-लॉ (दामाद)
|
पुत्री, नीस, डॉटर-इन-लॉ (बहु)
|
|
दो पीढ़ी नीचे
|
पौता, ग्रैंडसन-इन-लॉ
|
पौती, ग्रैंडडॉटर-इन-लॉ
|
|
तीन पीढ़ी नीचे
|
ग्रेट ग्रैंडसन, ग्रेट ग्रैंडसन-इन-लॉ
|
ग्रेट ग्रैंडडॉटर, ग्रेट ग्रैंडडॉटर-इन-लॉ
|
कुछ सामान्य संबंध को हम विभिन्न रूपों में दर्शा रहे हैं-
⇒ पिता पक्ष के सम्बन्ध ⇒ माँ पक्ष के सम्बन्ध
पिता के पिता – दादा माँ के पिता– नाना
पिता की माँ – दादी माँ की माँ – नानी
पिता के भाई– अंकल (चाचा) माँ का भाई– मैटरनल अंकल (मामा)
पिता की बहन– आंट (बुआ) माँ की बहन– मैटरनल आंट (मौसी)
अंकल (चाचा/फूफा) के बच्चे – कज़न मैटरनल अंकल (मामा) के बच्चे– कज़न
अंकल (चाचा/फूफा) की पत्नी – आंट (चाची/बुआ) मैटरनल अंकल (मामा) की पत्नी – मैटरनल आंट (मामी)
आंट (चाची/बुआ) के बच्चे – कज़न
आंट (चाची/बुआ) के पति– अंकल (चाचा/फूफा)
कुछ अन्य सामान्य सम्बन्ध भी दिए गए है-
भाई की पत्नी – सिस्टर-इन-लॉ
पति का भाई – ब्रदर-इन-लॉ
बहन का पति -ब्रदर-इन-लॉ
पति की बहन – सिस्टर-इन-लॉ
पत्नी की बहन- सिस्टर-इन-लॉ
पत्नी का भाई – ब्रदर-इन-लॉ
पति के पिता – फादर-इन-लॉ (ससुर)
पति की माँ – मदर-इन-लॉ (सास)
अब हम आपको कुछ उदहारण और प्रश्न दे रहे हैं, जो आपको ‘रक्त सम्बन्ध’ विषय को स्पष्ट रूप से समझने में आपकी सहायता करेंगे।
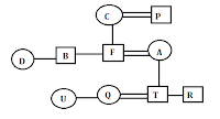
उदाहरण-1: तीन पीढ़ियों के एक परिवार में दस सदस्य P, U, T, R, Q, A, B, D, F, C हैं। उनमें से केवल तीन विवाहित युगल है। C के पति के केवल 2 ग्रैंडचिल्ड्रेन है। A के फादर–इन–लॉ के केवल 2 पुत्र और एक पुत्री है। T और R, F की पत्नी की संतान है। Q और U बहनें हैं। F, C का पुत्र है। R, Q का ब्रदर–इन–लॉ है। P, B का पिता है, जो T का अंकल है। Q, A का डॉटर–इन–लॉ है।
चरण I: तीन पीढ़ियों का परिवार है, A के फादर–इन–लॉ के केवल 2 पुत्र और एक पुत्री है। Q, A का डॉटर–इन–लॉ है। Q और U बहनें हैं। R, Q का ब्रदर–इन–लॉ है। इससे हमने पाया–
चरण II: T और R, F की पत्नी की संतान है। F, C का पुत्र है। P, B का पिता है, जो T का अंकल है। इस स्थिति से हम अंतिम रक्त सम्बन्ध वृक्ष प्राप्त करेंगे–
उदाहरण -2: तीन पीढ़ियों के एक परिवार में दस सदस्य A, B, C, D, E, I, J, K, L और M हैं। परिवार में केवल तीन विवाहित युगल है। A, J की डॉटर-इन-लॉ है। B के भाई, I की केवल एक बहन है। L और B विवाहित युगल है। L, C की मदर-इन-लॉ है। K, B की माँ है। D, K का सन-इन-लॉ है। C, E की बहन है।
चरण I: L, C की मदर-इन-लॉ है। L और B विवाहित युगल है। K, B की माँ है। C, E की बहन है।
चरण II: A, J की डॉटर-इन-लॉ है। B के भाई, I की केवल एक बहन है। D, K का सन-इन-लॉ है। अत:, अंतिम रक्त सम्बन्ध वृक्ष
अब हम आपको अभ्यास के लिए कुछ प्रश्न दे रहे हैं .
BLOOD RELATION PRACTICE QUESTIONS
निर्देश (1-5): निम्नलिखित जानकारी का ध्यानपूर्वक अध्ययन कीजिये और नीचे दिए प्रश्नों के उत्तर दीजिये।
एक पंजाबी-परिवार में आठ सदस्य हैं अर्थात- A,B,C,D,E,F,G और H, एक दिन ये सभी रात्रि-भोजन करने के लिए एक वृत्ताकार मेज के इर्द-गिर्द बैठते हैं। इस परिवार में तीन विवाहित युगल होने की अतिरिक्त सूचना भी दी हुई है। E, B के दाएं ओर तीसरे स्थान पर बैठा है तथा G और E के बीच निश्चित रूप से दो व्यक्ति बैठे हैं। C अपने पोते के दाएं ओर बैठा है। F, D का दामाद है और उसकी पुत्री A है, जो अपनी आंट-E के बाएँ ओर बैठी है, जो D के विपरीत बैठी है। G और E सिस्टर-इन-लॉ हैं। H अविवाहित है, जबकि F का कोई सहोदर नहीं है। प्रत्येक युगल की कम-से कम एक संतान है।
Q1. निम्नलिखित में से कौन सा सदस्य, H के दाएं ओर बैठा है?
(a) A
(b) B
(c) C
(d) D
(e) इनमें से कोई नहीं
Q2. B की पत्नी कौन है?
(a) C
(b) E
(c) A
(d) D
(e) G
Q3. D की पुत्री कौन है?
(a) B
(b) A
(c) G
(d) E
(e) F
Q4. C के पुत्र के विपरीत कौन बैठा है?
(a) H
(b) E
(c) G
(d) F
(e) निर्धारित नहीं किया जा सकता
Q5. B के बाएँ ओर, 3 स्थान दूर कौन बैठा है?
(a) B का पुत्र
(b) B (लड़का) का पिता
(c) B की माता
(d) B (लड़की) का पिता
(e) या तो उसकी माता या पिता
निर्देश (6-10): निम्नलिखित सूचना का ध्यानपूर्वक अध्ययन कीजिये और प्रश्नों के उत्तर दीजिये:
एक परिवार में दस सदस्य P, U, T, R, Q, A, B, D, F, C है, सभी 2 समानान्तर पंक्तियों में बैठे है (लेकिन आवश्यक नहीं की समान क्रम में हो)। उनमें से केवल तीन विवाहित युगल है। P, U, T, R, Q पंक्ति-1 में बैठे हैं और सभी का मुख दक्षिण की ओर है। A, B, D, F, C पंक्ति-2 में बैठे हैं और सभी का मुख उत्तर की ओर है। इस प्रकार, दी गई बैठक व्यवस्था में एक पंक्ति में बैठा प्रत्येक सदस्य का मुख दूसरी पंक्ति में बैठे अन्य सदस्य की ओर है।
T और उसका भाई एक-दूसरे के निकटतम पड़ोसी है। B के पिता और Q के मध्य दो व्यक्ति बैठे हैं। P, B का पिता है, जो T का अंकल है। R, Q का ब्रदर-इन-लॉ है। T और R, F की पत्नी की संतान है। B अपने सिस्टर-इन-लॉ के दाएं से दूसरे स्थान पर बैठा है और B अंतिम छोर पर नहीं बैठा है। R की आंटी का मुख T की सिस्टर-इन-लॉ और T की ओर नहीं है। Q और U बहनें हैं। C के पति के केवल 2 ग्रैंडचिल्ड्रन है। A के ससुर के केवल 2 पुत्र और एक पुत्री है। Q, A की पुत्रवधू है और उसका मुख उसके ससुर की ओर है जो पंक्ति के दाएं अंत से दूसरे स्थान पर है।
Q6. F की माँ के बाएं से दूसरे स्थान पर कौन बैठा है?
(a) A की सिस्टर-इन-लॉ
(b) A का ब्रदर-इन-लॉ
(c) R का अंकल
(d) दोनों b और c
(e) इनमें से कोई नहीं
Q7. निम्नलिखित में से B के सन्दर्भ में F का स्थान क्या है?
(a) दाएं से तीसरा
(b) बाएं से दूसरा
(c) ठीक दाएं
(d) ठीक बाएं
(e) इनमें से कोई नहीं
Q8. परिवार के पुरुष सदस्यों का संयोजन निम्नलिखित में से कौन सा है?
(a) PFTRA
(b) PFTRB
(c) TRBFA
(d) इनमें से कोई नहीं
(e) निर्धारित नहीं किया जा सकता
Q9. निम्नलिखित में से कौन सा सत्य है?
(a) D, A की पुत्री है
(b) B, A का भाई है
(c) d और e दोनों
(d) A, F की पत्नी है
(e) F के दो पुत्र है
Q10. निम्नलिखित में से R के सन्दर्भ में Q का स्थान क्या है?
(a) दाएं से दूसरा
(b) बाएं से दूसरा
(c) बाएं से दूसरा
(d) निर्धारित नहीं किया जा सकता
(e) इनमें से कोई नहीं
उत्तर
निर्देश (11-15):
1. (c); 2. (b); 3. (c);
4. (a); 5. (b);
Directions (6-10): इस प्रकार के प्रश्नों को हल करने के लिए, सबसे पहले हम दी गई स्थितियों से परिवार वृक्ष बनाने का प्रयास करेंगे,
T और उसका भाई एक-दूसरे के निकटतम पड़ोसी है, अर्थात् T पुरुष है। B के पिता और Q के मध्य दो व्यक्ति बैठे हैं। Q, A की पुत्रवधू है। B अपनी सिस्टर-इन-लॉ के दाएं से दूसरे स्थान पर बैठा है, अर्थात् B पुरुष है, इस स्थिति में दो संभावनाएं होंगी, या तो B का भाई विवाहित है या B की पत्नी की बहन है। C के पति के केवल 2 ग्रैंडचिल्ड्रन है, अर्थात् C दादी है। A के ससुर के केवल 2 पुत्र और एक पुत्री है, अर्थात् A या तो पुत्रवधू है या दामाद है। T और R, F की पत्नी की संतान है, अत: F, T और R का पिता है। Q और U बहनें हैं। F, C का पुत्र है, अब यह स्पष्ट है कि T और R, C के ग्रैंडचिल्ड्रेन हैं। R, Q का ब्रदर-इन-लॉ है, अर्थात् R पुरुष है, और Q, T की पत्नी है। यहाँ केवल एक सम्भावना है कि A, F की पत्नी और A के माता–पिता की पुत्रवधू है। P, B के पिता है, जो T का अंकल है, इस कथनसे यह स्पष्ट है कि B, F का भाई है और P, C का पति है। D, B और F दोनों की बहन होगी तथा B की पत्नी की बहन होने की संभावना रद्द हो जाएगी क्योंकि यह तय है कि B का भाई विवाहित है जो कि F है।
B के पिता (P) और Q के मध्य दो व्यक्ति बैठे हैं, अत: यहाँ दो संभावनाएं बनती है; पहली पंक्ति-1 में P, Q के दाएं से तीसरे स्थान पर बैठेगा तथा दूसरी Q, P के दाएं से तीसरे स्थान पर बैठेगा। लेकिन दी गई स्थिति से Q, A की पुत्रवधू है और उसका मुख उसके ससुर (F) की ओर है जो पंक्ति के दाएं अंत से दूसरे स्थान पर है, क्योंकि F पंक्ति – 2 में बैठा है अत: वह उत्तर की ओर उन्मुख है, वह पंक्ति -2 के दाएं अंत से दूसरे स्थान पर बैठा है तथा Q पंक्ति-1 के बाएं अंत से दूसरे स्थान पर बैठा है, अत: दूसरी संभावना रद्द होगी।
T और उसका भाई (R) एक–दूसरे के निकटतम पड़ोसी हैं, इस स्थिति से या तो T या R, P के ठीक बाएं बैठ सकता है तथा U का स्थान निश्चित होगा। B, अपनी सिस्टर–इन–लॉ (A) के दाएं से दूसरे स्थान पर बैठा है तथा B अंतिम छोर पर नहीं बैठा है, अत:, यहाँ केवल एक सम्भावना है कि A पंक्ति-2 के बाएं अंत पर बैठेगा।
R की आंट (D), T की सिस्टर–इन–लॉ की ओर उन्मुख नहीं है, इस स्थिति केस -2 रद्द हो जाएगा क्योंकि वहां D के लिए स्थान नहीं है। केस-1 इस स्थित के साथ जारी रहेगा। इस स्थिति से D का स्थान निर्धारित होगा कि D, R की ओर उन्मुख होगा तथा C, पंक्ति-2 के दाएं अंत पर बैठेगा, अत में, हमे उत्तर प्राप्त होगा।
6. (d); 7. (c); 8. (b);
9. (c); 10. (b);












